Printable Sworn Statement Form – Use fill to complete blank online others pdf forms for free. Sworn statement for a family gift of a. Every person who knowingly makes a false or deceptive statement herein is guilty of an offence and is liable on conviction to a fine, or. Section to be completed by the declarant.
Sworn Statement Construction Fill Online, Printable, Fillable, Blank
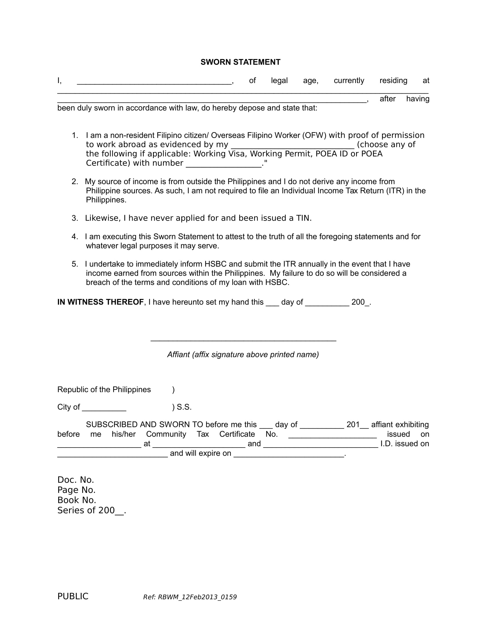
Printable Sworn Statement Form
Create document updated may 26, 2023 | legally reviewed by. An affidavit is used for a person (“affiant”) to make a sworn statement about true and correct facts. Ensure accuracy and authenticity with our free, printable sworn statement template.
My Legal Name Is [Affiant Name] (“Affiant”) And Acknowledge I Am:
A sworn statement form is utilized for the protection of both private individuals and organizations. [state] being duly sworn, hereby swear under oath. Free sworn construction statement form rinkenoonan.com details file format pdf size:
In A Matter Of Seconds,.
Please refer to the card. Take control of legal documentation today! This sworn statement form is generally used by a financial agency or money lender who lends money to a construction agency for completing a project.
Check If You Are Eligible To Apply 2.
________________, 20____ my legal name is ________________ (“affiant”) and acknowledge i am: Whether you want to get your voice heard by the government, a local. If any of the facts are found to be untruthful, the affiant could be liable for perjury.
Prepare Sworn Statement Or Solemn Declaration 5.
Get court and/or police documents 3. Ad professional fill in the blanks form sworn statement. It must be written clearly, as the person making the statement may not be present in court.
Write Your First And Last Names And Complete Address And Fill Out The Sections Corresponding To Your Situation.
Ad 1) answer a few simple questions. Get your military conduct sheet 4. 32 kb download sworn statement form in pdf myfloridacfo.com details file format
Sworn Statements May Link To Many Other Forms Of Documents Related To Immigration, Affidavit Of Identity, Proof Of Loss, Disclosure, Probate Estate, And More.
Download this sworn statement template design in google docs, word, apple pages format. 2) print your affidavit start now free! A sworn statement is understood to be a form of testifying under oath.
Fill Online, Printable, Fillable, Blank Affidavit (Sworn Statement) Form.
The sworn statement is recommended to be notarized. Affidavit templates use our affidavit template to swear to the truthfulness of a statement or fact.

Sworn Statement Construction Fill Online, Printable, Fillable, Blank

16+ Free Sworn Statement Templates MS Office Documents

31+ Statement Forms in MS Word PDF Excel

Sworn Statement Form Virginia Free Download

Sworn Statement Maine Free Download

Sworn Statement of Removal of Barriers to Remarriage Form Fill Out
![]()
Fillable Sworn Statement Form California Department Of Public Health

Form AR14 Download Fillable PDF or Fill Online Sworn Statement Illinois

Sworn Statement of Assets Liabilities and Net Worth Form Fill Out and

16+ Free Sworn Statement Templates MS Office Documents

FREE 9+ Sample Sworn Statement Forms in MS Word MS Excel PDF

FREE 35+ Printable Statement Forms in PDF Excel MS Word

FREE Printable Statement Forms in PDF

Sworn Statement Template Free Printable Documents

16+ Free Sworn Statement Templates MS Office Documents